新聞中心
煤矸石可以用來制砂嗎
- 分類:產品新聞
- 作者:山川
- 發布時間:2024-07-05 14:56:24
煤矸石是在成煤過程中與煤共同沉積的有機化合物和無機化合物混合在一起的礦石,通常呈薄層和在煤層中或煤層頂。我國的煤矸石儲量豐富,如果不合理利用不僅是資源的浪費,而且也會帶來一系列污染問題。
有朋友詢問煤矸石可以用來做什么呢,是否可以用來制砂,答案是肯定的。煤矸石的硬度不算太高,在使用它進行制砂時可以選擇對輥破、顎破、反擊破等組合使用,當然還需要配備一些輔助設備。
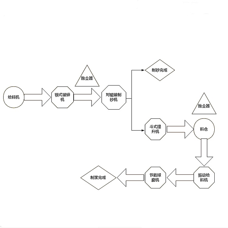
近日來自山東泰安的李總需要購買煤矸石制砂制漿設備聯系到我們,根據他的需求我們為他設計了方案。我們了解到李總的煤矸石原料為200mm,要求產量達到100噸,經過具體分析我們設計了方案,需要使用到的設備有給料倉、對輥制砂機、斗式提升機、料倉、振動給料機、節能球磨機各一臺,顎式破碎設備和除塵器各兩臺,具體工藝流程如下:

先通過給料機將200mm的煤矸石均勻送到顎式破碎設備,顎破將200mm的煤矸石破碎到30mm左右,然后使用對輥制砂機將30mm的煤矸石破碎到0-4mm,至此制砂完成(除塵器2臺破碎設備用1臺、料倉頂部用1臺)。如果需要制漿的話,需要繼續進行下一步:使用斗式提升機將0-4mm的煤矸石粉提到料倉,料倉儲存0-4mm的煤矸石粉供球磨機備用。之后使用振動給料機將煤矸石粉均勻地給球磨機送料,0-4mm的煤矸石粉被磨成200目的煤漿。 
山川是一家生產礦山機械的廠家,產品類型多、規格全。為更好的服務用戶,我們提供以下服務:凡購買我廠產品,對產品質量均實行三包,保修期為12個月。另外我們提供免費安裝調試服務,國內客戶均享受免費指派專門的售后工作人員,到達現場指導安裝調試(國外安裝需買方負責來回機票、食宿外,每人每天再付工資60美金)。在安裝完成之后我公司技術人員可以現場培訓操作人員,還可以留下1-2名專職技術人員免費協助客戶現場生產1個月,直到用戶滿意為止。如您需要購買各類破碎設備、磨礦設備、煅燒、制粒、篩分等礦山設備,均可聯系我司工作人員為您進行具體介紹!